신소재 공학도 분들이라면, 질리도록 들을 수 밖에 없는 그 이름, X선 회절 분석에 대한 주제로 찾아왔습니다!
여러분은 XRD 분석 실험에 대해 들어보신 적이 있으신가요? XRD는 X-Ray Diffraction의 약자로, 분석하고자 하는 소재의 sample에 특정한 파장을 가진 X선을 조사하여, 소재의 고유한 결정면에서 회절하여 나온 X선을 분석해 소재의 결정구조를 분석하는 실험 방법입니다!!
그렇다면, XRD 실험을 진행한 후 도출 된 그래프를 분석할 수 있어야겠죠! 꽤 내용이 길기때문에 여러차례로 나누어 설명을 드릴 계획입니다!
다음 그림은, 일반적으로 볼 수 있는 XRD 그래프입니다. x축은 X선을 sample에 입사한 각도이고, y축은 detector에 감지된 빛의 세기(강도) 인데요. 사실 이렇게만 봐서는 잘 모르겠죠! 먼저 XRD 분석의 매커니즘을 간단하게 설명 드리도록 하겠습니다.

위 그림은, sample에 일정한 각도를 이루는 X선이 입사되었을때, 면간 거리가 같은 종류의 면에부딪힌다면, 이 빛의 경로차이는 얼마나 되는지를 볼 수 있는 모식적인 그림입니다. 입사된 빛 1과 2를 보면, sample에 들어갔다 나온 빛의 경로차이가 있는 것을 알 수 있습니다. 이러한 경로차는 곧 파장의 차이로 생각할 수 있습니다.
XRD 그래프에서 peak가 솟아있는 부분을 보기 위해서는 이러한 빛들이 서로 간섭했을 때, 보강간섭이 발생해야하는데요, 이러한 조건을 담은 식이 있습니다.

경로차그림에서, 빨간부분이 두 빛의 경로차를 의미하는데, 경로차는 위의 식의 우변으로 나타낼 수 있고, 우변의 크기가 좌변이 될때, 즉, 파장의 정수배가 될때, 보강간섭이 발생한다고 할 수 있습니다. 다음을 만족하는 형태의 각도를 bragg의 법칙을 만족하는 각이다 라고 말합니다.
다음의 식에서 알 수 있는 점은 면지수가 커지면 면간거리가 짧아지기 때문에, 일정한 크기의 파장을 가진 X선을 입사한다면, θ가 커진다는 것을 알 수 있습니다. 따라서, 면지수가 클수록 그래프의 우측에서 찾을 수 있다는 것을 확인할 수 있습니다.
그렇다면, XRD 그래프에서 peak는 어떤 소재에서는 나타나고, 다른 소재에서는 나타나지 않는지, 그리고 peak의 값이 왜 다르게 나타나는 지 그 이유가 궁금하지 않으신가요? 지금 부터 알아보도록 해봅시다!
peak의 크기는 바로 detector에 감지되는 빛의 강도(intensity)에 의해 결정되는데요!

다음과 같은 식으로 빛의 강도에 미치는 인자를 정리할 수 있습니다.
먼저, p는 polarization factor로, 전자 한 개가, X선의 산란에 미치는 영향을 나타냅니다. X선과 전자의 충돌을 탄성 충돌로 가정할 때, 에너지의 크기는 변하지 않고, 방향만이 바뀌는데요,

이때, 관계식을 이렇게 정리할 수 있습니다. 실제로 전자 한개에 의한 산란의 정도는 매우 미미하기 때문에 이 인자는 거의 영향을 미치지 않는다고 할 수 있습니다.
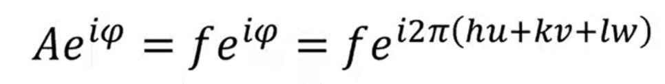
그렇다면, F는 무엇일까요? 가장 중요하다고 할 수 있는 요소인데 우리는 이것을 알기전에 f(atomic form factor)에 대해 알아볼 필요가 있습니다. f는 atom 한 개가 산란에 미치는 영향을 의미합니다.

다음의 그림에서 볼 수 있듯, 빛이 경로가 바뀌지 않는다면 경로차가 나지 않습니다. 하지만, 충돌하여 X선의 파장의 경로가 특정 각도로 변한다면, 경로차가 발생하게되고, 이는 빛의 간섭현상에 의해 강도에 영향을 미칩니다. 일전에 언급했듯, 면간거리가 일정할때, θ가 커진다면, 경로차가 증가하게되고,이는 intensity감소를 야기합니다.
다른 시각에서 바라본다면, atom의 원자번호가 클수록, 전자가 많고, 이는 더 많은 산란으로 이어지므로, 회수되는 빛 입자의 수가 많을수록 높은 intensity가 측정되는 detector의 입장에서 보았을 때, 원자번호의 증가는 intensity의 증가로 해석할 수 있습니다. 즉,


atomic form factor는 원자번호와 산란각을 인자로 갖는 함수이며, θ는 0일때, f자체는 원자번호를 의미한다는 것을 알 수 있습니다. 따라서, atomic form factor는 파장의 amplitude를 의미한다는 것을 확인 할 수 있습니다.

위 그림에서, 원자의 면간에 낀 원자와 아랫면의 원자의 관계를 살펴본다면, 이 두 원자에 의해 산란한 빛의 경로차는

다음과 같은 과정을 거쳐 결국 결정 내의 원자에 의해 산란된 빛의 위상차는 2π(1-u)로 구할 수 있다는 것을 알 수 있습니다. 이때 u는 3차원 격자구조 내에서 원자의 좌표를 의미한다고 해석할 수 있습니다. 따라서 3차원 상에서 위상차는

다음과 같은 식으로 나타낼 수 있고, 이를 원자 한개에 의해 산란한 X선의 amplitude 형태로 나타내면,

로 표현할 수 있습니다. 이것이 원자 한개에 의한 산란을 고려한 atomic form factor이다. 하지만, 원자 한 개만을 고려해주어선 부족한데, 소재마다, 갖는 결정격자가 다르기 때문인데요. 따라서, 소재의 결정 구조를 가장 작은 단위로 나타낼 수 있는 유닛셀을 파악해야하고 이를 F(structure factor)라고 합니다!
F는

유닛 셀 내의 atomic form factor를 모두 더한 형태로 표시되는데요! 이렇게 보니까 이해가 어렵죠!
예시를 들어보도록 하겠습니다.
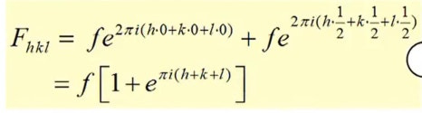
먼저 primitive한 구조를 볼 수 있습니다. primitive 구조는 유닛셀 내 원자의 개수가 1개죠! 따라서 하나면 고려해주면되는데요.



격자의 edge에 있는 원자만 고려하기 때문에 다음과 같은 structure factor를 구할 수 있으며, structure factor의 제곱은 면지수와 상관없이 항상 atomic form factor의 제곱과 같습니다.



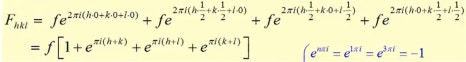
하지만, 체심구조는 다릅니다. 바로 유닛 셀 내 원자의 개수가 2개이기 때문에 두 포지션의 원자를 고려해야해서 다음과 같은 식으로 structure factor가 유도됩니다. 이때, 면지수의 총합이 짝수라면 intensity가 극대점을 가져 peak가 나타나며, 홀수라면 그렇지 못하다는 것을 알 수 있습니다.



면심 구조는 4개의 포지션의 atom을 고려해야하는데요! 면심구조의 면지수가 모두 짝수이거나 홀수일 경우, intensity가 극대점을 가져 peak가 나타나며, 홀수와 짝수가 섞인 경우는 intensity가 소멸되어 peak가 나타나지 않는다는 것을 알 수 있습니다.
그렇기 때문에!!!

각 격자의 종류에 따라, 위의 표에 해당하는 지점에서 peak가 나온다는 것을 알 수 있습니다. 즉, 미지의 소재를 분광분석했을때, 그 소재가 어떤 결정구조를 갖는 지 peak의 위치를 분석하면 알 수 있겠죠?
다음 포스팅은 XRD 그래프에서, 회절조건을 만족하는 Bagg's angle에서만 peak가 선형으로 솟아나는게 아니라, 특정한 폭을 가지고 생겨나는지에 대해 알려드리려고 합니다! 그럼 다음 포스팅에서 만나요!!
'물질 분석 > XRD 분석' 카테고리의 다른 글
| XRD 분석, 그래프를 분석해보자! (2) (2) | 2024.12.28 |
|---|
